UPLC 시스템에 PEEK Fingertight Fittings 을 사용하면 Troubleshooting을 많이 줄일수 있습니다.
최근에는 대부분의 nano LC는 UPLC 형태입니다. 고압에서 운용되기 때문에 모든 연결이 고압에서 견딜수 있는 연결부품(Tubings, Ferrule, Nut, sleeve)만이 사용됩니다 . UPLC는 Low pressure LC에 비해서 많은 장점을 가지고 있습니다. Particle size가 작은 C18(1.9 µm)과 긴 길이의 컬럼을 사용함으로써 peak resolution을 높여서 분리능을 증가시킬수 있습니다.이때 요구되는 고압을 견딜수 있어야 함으로 UPLC가 필수입니다.
하지만 가끔 Nano UPLC를 운영하다보면 잦은 troubleshooting으로 인해 많은 시간이 소비됩니다. nano UPLC에 사용되는 소모품들이 상대적으로 고가입니다. 또한 nano UPLC에 사용되는 tubing의 내경도 매주 작아서 자주 막히기도 합니다. 이러한 이유로 고가의 연결부품을 수시로 바꾸는것은 아무래도 부담스럽습니다. 상용제품이 아닌 경우 Fused slicat tubing metal ferrule, nut, sleeve등으로 연결합니다. 하지만 제대로 만들지 못하면 leaking현상이 자주 발생합니다.
nano LC의 경우 일주일중에 절반은 troubleshooting을 하고 나머지 절반에 데이타를 얻는 경우가 많습니다.
UPLC가 나오기 전에는 PEEK Fingertight Fittings 을 연결을 하였습니다. 즉 특별한 툴이 없이 손으로만 연결을 할 수 있었습니다. UPLC의 경우 Ferrule와 sleeve로 fused silica tubing을 고정시키면 재사용이 불가능합니다. 만약 잘못 만들어지면 새로운 ferrule와 sleeve를 사용해야 됩니다. 하지만 Finger-tight 형태는 상대적으로 여러번 재사용이 가능합니다.
UPLC 시스템인 Easy nLC 1000을 이용하여 PEEK Fingertight Fittings 로 연결하여 실험을 해보았습니다.
Easy nLC를 구매하면 아래 그림에서 보이는 housing이 같이 오는 경우가 있습니다. 보통은 그냥 박스에 넣고 쓰지 않습니다. 아니면 따로 구매도 가능합니다.
아래 그림과 같이 PEEK fittings으로 4-way tee에 trap-column, waste-line, voltage cable, nano-column을 연결하였습니다. 이때 도구없이 손으로만 연결하였습니다.

nano-column은 18 cm 길이를 사용하였고 3 µm C18을 충진하였습니다. 300 nL/min에서 압력이 약 250~300 bar정도 됩니다. PEEK Fingertight Fitting은 이 정도의 압력에 특별히 문제가 없었습니다.
아래는 HeLa digest를 60 min gradient를 이용하여 3번 반복한 크로마토 그램입니다. 나쁘지 않은 피크모양과 함께 아주 좋은 재현성을 보였습니다.

아래는 3시간의 gradient 에서 얻어진 크로마토 그램입니다.

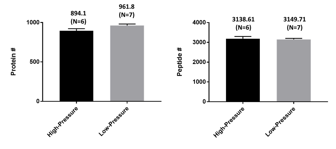
기존 metal fitting 연결된 환경과 PEEK Fingertight Fittings 연결 환경에서 분석한 단백질 과 펩타이드의 수입니다.
컬럼의 길이는 유사합니다. 아래 그래프에서 보듯이 두 환경에서의 결과는 거의 유사합니다. 상태가 좋지 않은 Orbitrap ELITE를 사용한 터라 검출된 수는 높지 않습니다.

보통 약 20 cm 까지의 길이의 컬럼을 사용하는 경우 특별히 차이가 없는것같습니다. 사실 피크 모양이 유사하다면 단백질과 펩타이드의 수는 질량분석기의 감도에 의존하기 때문이겠지요 하지만 긴 컬럼(30 cm?)사용할 경우나 보다 작은 사이즈의 C18 (1.9µm or 2.4 µm) 을 사용할 경우는 PEEK Fingertight Fittings 사용이 불가능합니다.
Troubleshooting에 들어가는 시간적인 소모를 감수하고 좋은 피크를 얻을 것인가? 아니면 상대적으로 피크모양이 완벽하지 않더라도 편안히 실험을 할것인가?
'프로테오믹스(단백체학)' 카테고리의 다른 글
| Spectronaut 에서 Spectra library이 Fasta만을 사용하는 direct DIA 분석 (Human plasma &Achilles tendon) (0) | 2020.10.07 |
|---|---|
| Negative mode로 장비내 contaminants 제거하기 (0) | 2020.10.06 |
| Linchrosorb Si60 을 이용한 Frit column 만들기 (0) | 2020.09.25 |
| Spectronaut 의 directDIA 분석과 Spectra library 기반의 정량분석 비교 (0) | 2020.09.19 |
| Thermo Altis Triple Quardrupole 을 이용한 Ovalbumin의 정량성 테스트 (0) | 2020.09.17 |
댓글