처음으로 사람의 변(똥)으로 분석을 하였습니다. 변에 존재하는 미생물에서 생성되는 펩타이드로 인해 human proteome만을 선택적으로 검출하는것이 어렵습니다. 이렇게 microbiome을 사전에 제거하는 과정이 있다면 분석이 쉬울것입니다. 하지만 사람의 변에서는 그러한 과정이 쉽지 않을것입니다.

일단 어떤 형태로 검출이되는지 간단히 직접 실험을 해보았습니다. 병원에서 받은 시료를 간단한 DDA 방법으로 분석한후 검색을 하였습니다.
5명의 시료를 일반적인 방법으로 단백질을 추출후 Q-Exactive ( DDA, 60 min LC gradient )로 분석하였습니다.
●Human Stool samples
5명의 시료에 해당하는 크로마토그램입니다. Complex 시료에서 볼수있는 전형적인 크로마토그램입니다. Raw files을 Proteome Discoverer에서 human species로 검색을 하였습니다.
Chromatograms

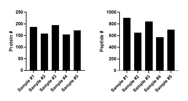
Protein and Peptide #
아래는 검출된 단백질과 펩타이드 수에 대한 그래프입니다. 크로마토그래프에 비해서 상당히 적은 수의 단백질 및 펩타이드가 검출되었습니다.

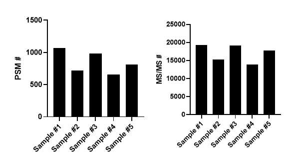
PSM and MS/MS #
아래는 PSM과 MS/MS 수에 대한 그래프입니다. 상당히 많은 수의 MS/MS가 있음에도 불구하고 검출된 단백질수는 상당히 적습니다. 즉 MS/MS 스펙트라의 아주 적은 수많이 human proteome으로 검색이 되었다고 말할수 있습니다. 그외의 MS/MS 스펙트라는 microbiome에 해당하는 펩타이드일것이고 또한 junk 피크들일 것입니다.

The ratio of PSM and MS/MS #
MS/MS수에 해한 PSM 수의 비율은 아래와 같습니다. 대략 5% 내외가 됩니다.

●Yeast Digests
동일한 조건에서 100ng standard Yeast Digest를 분석하였습니다. 아래는 3번 반복한 크로마토그램입니다.
Chromatograms

Protein and Peptide #
검출된 단백질과 펩타이드수에 대한 그래프입니다.

PSM and MS/MS #
PSM 와 MS/MS 수에 대한 그래프입니다. MS/MS수에 해한 PSMs수의 비율은 아래와 같습니다.

The ratio of PSM and MS/MS #
Human stool sample에서의 결과보다는 훨씬 높은 비율을 보여줍니다. 즉 많은 MS/MS 스펙트라가 실제 Yeast Proteome으로 검출이 되었다는 뜻입니다.

Human Stool 시료와 Yeast digest에서 얻어진 PSM and MS/MS 수의 비율을 를 비교하면 아래와 같습니다.

● # Unique peptides
검출된 단백질에 해당하는 unique peptide의 수에 대한 분포도를 비교해보았습니다. 아래는 Human Stool sample에 해당하는 그래프입니다. 약 30개의 unique peptides로 검출된 단백질이 가장 높은 수의 unique peptides 수를 보였습니다. 검출된 단백질의 절반 정도가 1개의 unique peptide로 검출이 되었습니다.

아래는 100ng Yeast protein digest에 해당 하는 결과입니다. 1개의 uniquep peptide로 검출된 단백질이 상당히 많지만 최대 70개의 unique peptides를 가지는 단백질도 검출이 되었습니다. Stool samples에 비해서 훨씬 넓은 분포도를 보여줍니다.

1개의 unique peptide로 검출이 되더라도 unique peptide이 때문에 해당 단백질을 대표할수 있습니다. 하지만 이 unique peptide가 false positive인 경우가 생길수 있습니다. 이 경우 해당 단백질은 검출이 안되었다고 생각할수 잇습니다. 즉 MS/MS 스펙트럼을 확인해야 합니다. 아래는 1 개의 unique peptide로 검출된 단백질에 해당하는 MS/MS 스펙트럼입니다. 대부분 background 수준의 피크들로 assign 되었습니다. 아마 이것은 false-positive일 가능성이 높습니다. 즉 Stool samples에서는 이러한 경우가 더 많이 발생할수 있습니다.

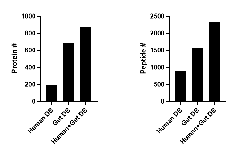
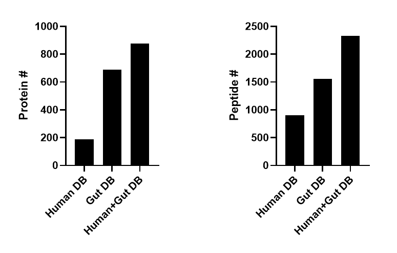
● Human DB and Gut microbial DB
기존에 문헌에서 발견된 Gut microbial DB를 이용하여 검색을 해보았습니다. Stool samples에 특이적인 microbial proteome은 아닐수도 있지만 일단 검색하여 human DB 에서의 결과와 비교해 보았습니다. 아래는 비교 그래프입니다.
Human DB에서 보다 gut microbial proteome DB에서 훨씬 더 많은 단백질이 검출이 되었습니다. 아마 더 적절한 microbial DB를 사용하면 더 많은 단백질이 검출될수 있을것이라 생각합니다.

아래는 검출된 펩타이드 Sequence에 대한 벤다이 그램입니다.

●Conclusion
예상대로 쉽지 않네요. 사전 분획을 많이 하면 더 많은 단백질을 찾을수 있을듯합니다. 하지만 microbiome에 해당하는 단백질로 동일하게 분획이 될테이니 검출수가 상당히 향상될것 같지는 않네요

'프로테오믹스(단백체학)' 카테고리의 다른 글
| IP 시료등 단일 단백질에서 Phosphopeptides 검출시 TiO2 enrichment 사용여부 (0) | 2021.04.08 |
|---|---|
| Large-scale TMT 정량분석에 있어서 MS2와 MS3 분석법 비교 (2) | 2021.04.07 |
| HCD와 EThcD에서의 단백질 및 펩타이드 검출수 비교 (0) | 2021.04.02 |
| Orbitrap Fusion의 Intensity Thresold값에 따른 Yeast Protein digestions의 단백질/펩타이드 검출수 비교 (0) | 2021.04.01 |
| TMT MS2 와 MS3 방법에서의 단백질 검출수 비교 (0) | 2021.03.31 |
댓글