반응형
INFERYS를 이용하여 Spectra-library를 만들수 있습니다. 만들어진 Spectra-library는 Proteome Discoverer의 MSPep Search node를 통해 사용할수 있습니다.
Creation of a Predicted Spectra Library
PD에서 INFERYS 심볼이 보입니다. Predict를 누르고 원하는 FASTA file과 관련 정보를 입력합니다. IMFERYS는 펩타이드의 길이에 제한이 있습니다. 보통 7~30사이를 설정합니다. Start를 누르면 생성이 시작됩니다. 상당한 시간이 소요됩니다.

생성이 끝난후 아래 아이콘을 클릭하면 생성된 Spectra-library를 볼수 있습니다.

Workflow에서 MSPep search를 불러온후 클릭하여 생성된 Spectra-library를 선택하면 됩니다,.


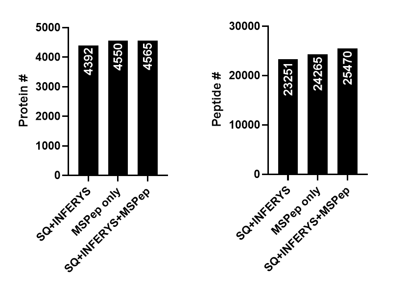
아래와 같이 MSPep Search를 통해 추가적인 단백질/펩타이를 검출할수 있는지 비교해보았습니다.

아래는 검출된 단백질과 펩타이드 수입니다. 놀랍게도 Sequest+INFERYS를 사용했을때보다 MSPep search에서 조금더 많은 단백질과 펩타이드가 검출되었습니다. 두개를 동시에 사용하면 펩타이드의 수가 조금더 증가됩니다. 두개를 사용하게 되면 검색시간이 늘어납니다. 그에 비해서는 추가로 검출되는 수는 많이 않은것 같습니다.

'프로테오믹스(단백체학)' 카테고리의 다른 글
| Single-Shot 10K Proteome Approach (JPR, 2022, 21, 6, 1418–1427) (0) | 2022.09.15 |
|---|---|
| Protein Extraction을 위한 Buffer 선택 (0) | 2022.09.13 |
| Orbitrap Eclipse Deep cleaning (0) | 2022.09.09 |
| Mouse Plasma 시료 FAIMS Gas-Phase Fractionation으로 분석하기 (0) | 2022.09.06 |
| FAIMS를 이용하여 1ng HeLa 시료 DIA로 분석하기 (0) | 2022.09.04 |
댓글