얼마전에 Spectronaut 15를 설치하였습니다. 요즘은 Spectra library 없이 direct DIA 방법을 많이 선호하는것 같습니다. 아무래도 Spectra library를 만들기 위해 소요되는 시간과 노력을 절약하기 위함인것 같습니다. 최근들어 Direct DIA에서 좋은 결과들이 나오고 있습니다.
Human Plasma DIA (Q-Exactive HFX)
Plasma 분석에 대한 요청이 들어온터라 이전에 분석했던 Plasma 데이타를 Spectronaut15로 분석해보았습니다. 이전에 Spectronaut14로 테스트한것과 유사합니다.
Spectronaut 의 directDIA 분석과 Spectra library 기반의 정량분석 비교
Spectronaut 의 directDIA 분석과 Spectra library 기반의 정량분석 비교
앞에서 Spectronanut 의 directDIA에 대해 간략히 언급하였습니다. 즉 Spectra library 없이 fasta file 만으로 분석하는 것입니다. 이번에는 HeLa digest에 서로 다른 양의 Ovalbumin을 첨가한후 그 실제 정량값..
proteomicstechnology.tistory.com
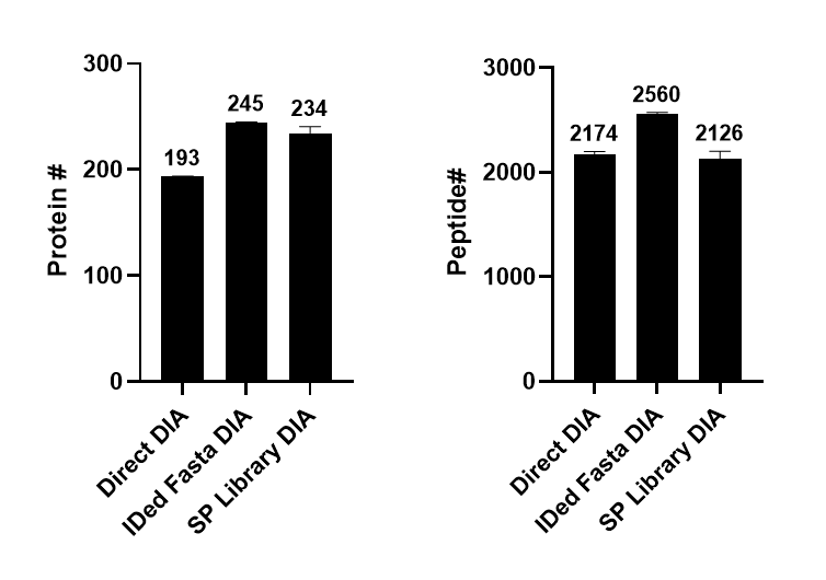
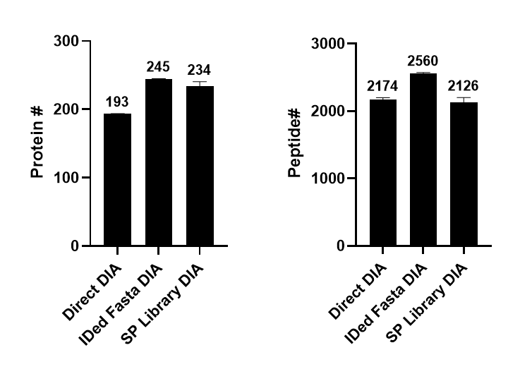
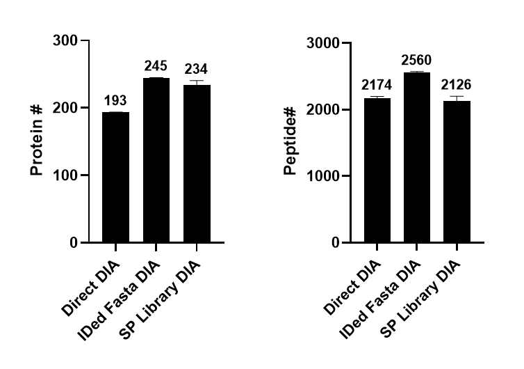
컴퓨터에 있던 Plamsa DIA 파일중에 3 개의 파일을 이용하여 3가지 방법으로 테스트해보았습니다
- Direct DIA (human fasta)-Direct DIA
- Direct DIA (DDA에서 검출된 단백질로 만든 fasta)-IDed fasta DIA
검출가능한 혈액단백질의 수는 human fasta에 존재하는 단백질에 비해서 매우 제한적입니다. 그래서 human fasta전체를 사용하지 않고 기존에 혈액에서 검출된 단백질만으로 이루어진 fasta파일을 만들었습니다.
- Spectra library-based DIA(Spectranaut15에 포함되어 있는 plasma spectral library)-SP library DIA
아래는 각각의 방법에서 검출된 단백질 및 펩타이드의 수입니다. 60min LC time이고 혈액단백질이라 검출된 수는 많지 않습니다. 3가지 방법중에는 검출된 단백질로 만든 fasta로 분석한 direct DIA 방법에서 더 많은 단백질및 펩타이드가 검출이 되었습니다.

200ng HeLa DIA (Exploris480)
또한 Exploris480으로 분석했던 200ng HeLa (60min) 데이타를 이용하여 Direct DIA와 Spectra library-based DIA를 비교해보았습니다. Spectra library로 분석한 결과에서 더 많은 단백질과 펩타이드가 검출이 되었습니다.

Biognosys의 세미나혹은 문헌등에서는 Direct DIA가 더 좋다는 결과를 보여줍니다.. 아마 Direct DIA에 최적화된 파라미터를 사용한것 같습니다. 일단 특별한 최적화 없이 단순 비교를 했을때는 두 시료에 대해서는 Spectra libary에 기반한 DIA가 더 나은것 같습니다. Direct DIA를 최적화하기 전까지는 Spectra library를 이용하여 분석해야 될듯합니다.
'프로테오믹스(단백체학)' 카테고리의 다른 글
| Trap column에서 Hydrophilic peptides가 손실되는 현상 (0) | 2022.03.04 |
|---|---|
| 1.5 mL Tube에서 나오는 Contaminant peaks (FlexMix calibration solution) (0) | 2022.03.04 |
| Orbitrap Eclipse Data-Indepenant Acquisition-Cycle time vs Top N (0) | 2022.02.28 |
| Orbitrap Eclipse의 MS3 SPS Real-time search를 활용한 TMT 분석 (TKO TMT 11-plex standard) (0) | 2022.02.25 |
| Vanquish Neo/Orbitrap Eclipse 장비 QC를 위한 컬럼 (0) | 2022.02.23 |
댓글