반응형
MS Amanda는 Sequest, Mascot과 같이 질량분석기의 결과를 검색할 수 있는 알고리즘입니다. 무료로 배포되고 있고 Proteome discoverer에 연결하여 손쉽게 사용할수 있습니다. MS Amanda
Proteome Discoverer 에 등록하면 아래와 같이 Sequest, Mascot 등과 같이 검색엔진으로 사용될수 있습니다.

Sequest HT와 간단히 비교해보았습니다. 간단히 Hela digest standard를 이용하여 두가지 Mode Orbitrap(MS)-Orbitrap(MS2), Orbitrap(MS)-iontrap(MS2) 로 측정하여 비교하였습니다.

아래 그림과 같이 Proteome Discoverer에서 4가지로 셋팅을 했습니다. Sequesat 와 MS Amanda를 두개를 각각 비교하였고 또한 두 검색 엔진를 동시에 두 개 사용한것을 비교하였습니다.

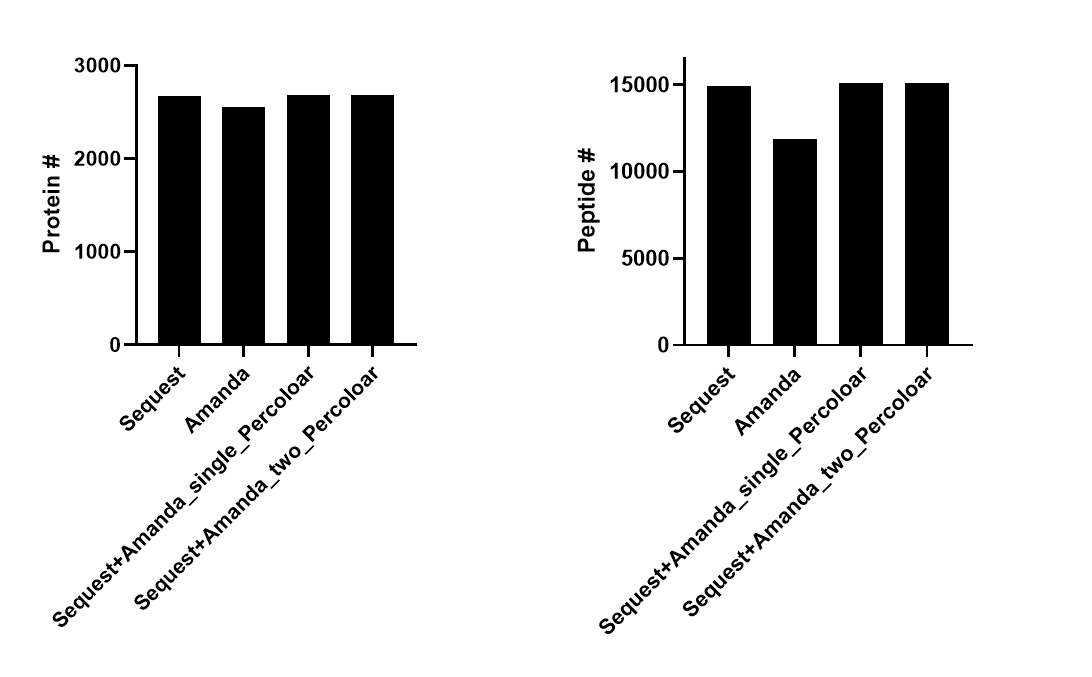
아래 그래프는 OT-OT로 얻은 결과를 분석한것입니다. 전반적으로 차이가 없습니다. Sequest에서 Amanda보다 약간 더 많이 검출되었습니다. 하지만 두개를 합쳐서 검색하더라도 검출되는 수는 향상되지 않았습니다.

OT-IT mode에서도 유사한 결과를 얻었습니다.

MS Amanda가 소개된 논문에서는 Sequest보다 더 많이 검출된다고 하였으나 이번 테스트에는 그다지 효과가 없다고 나옵니다. 아마 최근 Sequest의 검출능력이 이전에 비해서 많이 향상되어서 그런것 같기도 합니다.

'프로테오믹스(단백체학)' 카테고리의 다른 글
| 적은수의 펩타이드를 정량분석에 있어서 PRM과 DIA 분석법 비교 (0) | 2021.02.17 |
|---|---|
| 10-Plex TMT로 Phosphopeptides 검출에 있어서 Sequest HT 와 MS Amanda 2.0 비교 (0) | 2021.02.14 |
| AttractSPE Disk Bio C18 을 이용하여 high-pH RP stage-tip로 펩타이드 분획하기 (0) | 2021.02.05 |
| Pierce™ Top 12 Abundant Protein Depletion Spin Columns 으로 혈액 단백질 검출하기 (0) | 2021.01.31 |
| Thermo Easy nLC method 설정 방법 (0) | 2021.01.27 |
댓글