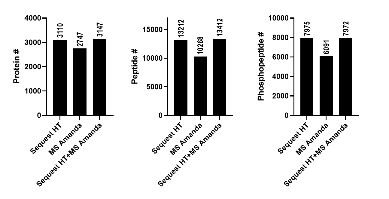
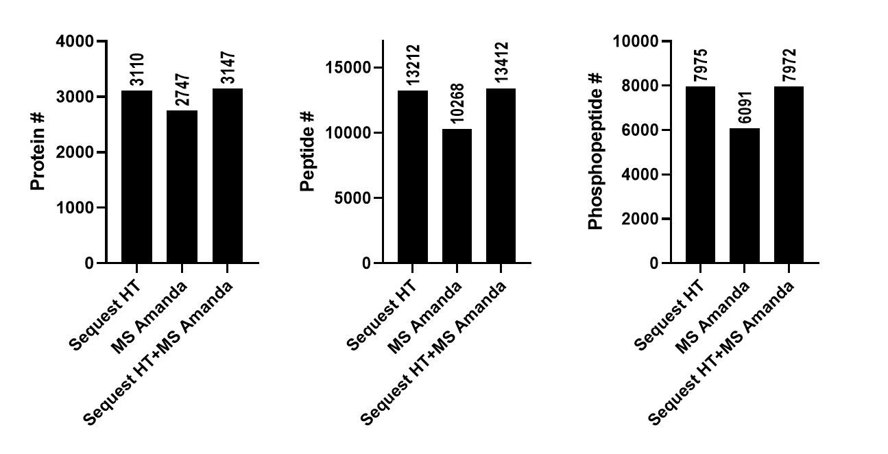
10-plex TMT를 이용하여 phosphopeptide의 정량분석에 있어서 Sequest HT 와 MS Amanda 2.0을 비교해보았습니다.
보통 개발자들이 산출한 결과를 잘 믿지 않고 실제 분석시료로 직접 결과를 내어서 확인을 하는 편입니다.
이전에 분석서비스에 사용했던 결과를 사용하였습니다. 10-Plex TMT가 labeling 시료를 TiO2와 Ti-IMAC으로 Phosphopeptide를 회수하여 얻은 결과입니다.
Proteome Discoverer 2.4에서 Sequest HT, MS Amanda 2.0 그리고 Sequest HT+MS Anandma 2.0 으로 각각
분석하였습니다.
아래는 각각에서 검출된 전체 단백질, 전체 펩타이드, 그리고 인산화 펩타이드 수를 비교한 그래프입니다.
검출된 수를 비교하면 SEQUEST HT에서 약간 더 많이 검출되었습니다. 두개를 동시에 검출했을때 인산회 펩타이드의 수가 크게 증가하지는 않았습니다.

아래 벤다이어그램에서 보듯이 SEQUEST HT에서 대부분 검출이 되었습니다. MS Amanda 2.0에서 추가로 검출된 수는 미비합니다.


관련글
Stage-tip hpRP fractionation of phosphopeptidesIP 시료등 단일 단백질에서 Phosphopeptides 검출시 TiO2 enrichment 사용여부
Large-scale TMT 정량분석에 있어서 MS2와 MS3 분석법 비교
TMT MS2 와 MS3 방법에서의 단백질 검출수 비교
TMT 정량분석에서 Proteome Discoverer의 Co-isolation threshold 값의 효과
10-Plex TMT로 Phosphopeptides 검출에 있어서 Sequest HT 와 MS Amanda 2.0 비교
10-plex TMT SPS MS3 분석을 위한 Orbitrap Fusion Method
TMT 정량의 분석에서의 SPS MS3 방법은 진짜 좋은가?
TMT 정량의 분석에서의 SPS MS3 방법은 진짜 좋은가?
TMT 실험에서 서로 다른 펩타이들의 co-fragmentation은 정량성을 떨어뜨리는 주요 원인중 하나입니다. 이로인해 실제 단백질의 양이 변화된 값과 TMT로 측정된 정량값이 상당히 차이가 날수 있습니다
proteomicstechnology.tistory.com
10-Plex TMT 에 100 µg이상의 단백질 Labeling 하기 (400 µg까지 확인)
10-Plex TMT 에 100 µg이상의 단백질 Labeling 하기 (400 µg까지 확인)
TMT 시약은 는 아마 가장 널리 사용되는 정량분석방법중 하나일것이다. 분석의뢰의 경우에도 10개 이하의 시료의 정량분석은 대부분 TMT 시약을 이용한 분석서비스를 제공하여 왔다. Manufacture 프
proteomicstechnology.tistory.com
'프로테오믹스(단백체학)' 카테고리의 다른 글
| Skyline의 DIA method 설정에서 Window 수와 Optimize window placement 에 따른 비교 분석 (QE-HF) (0) | 2021.02.18 |
|---|---|
| 적은수의 펩타이드를 정량분석에 있어서 PRM과 DIA 분석법 비교 (0) | 2021.02.17 |
| 단백질 분석에 있어서 MS Amanda 와 Sequest 검색엔진 비교 (0) | 2021.02.09 |
| AttractSPE Disk Bio C18 을 이용하여 high-pH RP stage-tip로 펩타이드 분획하기 (0) | 2021.02.05 |
| Pierce™ Top 12 Abundant Protein Depletion Spin Columns 으로 혈액 단백질 검출하기 (0) | 2021.01.31 |
댓글