최근에 많은 수의 시료를 정량분석하는 의뢰가 들어오고 있습니다. 시료의 수가 많을 때는 TMT 분석으로 불가능하기 때문에 DIA 분석을 수행합니다. 기존의 DIA 분석 방법을 그대로 적용하면 되긴 하지만 약간의 설정을 수정하면 더 좋은 결과가 있을지 확인할 필요가 있었습니다. 장비마다 성능이 다르기 때문에 동일한 파라미터를 여러 장비 (예, QE, QE-HF, QE-HFX) 일괄적으로 적용하기 보다는 약간의 최적화가 필요합니다,
DIA 정량분석을 위해서는 대략 10개의 포인트가 요구됩니다. 보통 nano LC LC 피크의 넓이가 25초라고 가정하면 특정한 피크를 2.5초마다 한번씩 scan를 해야 펩타이드당 10개 포인트를 얻을수 있습니다. Resolution 및 Maximum injection time에 따라 다르지만 보통 QE 시리즈 (QE, QE+, QE-HF)는 10HZ 를 가집니다. 2.5초마다 한번씩 scan을 하기 위해서는 10Hz 장비에서 25개의 window로 설정하면 됩니다.
그러므로 m/z 400-1000( 600m/z) 구간을 DIA로 분석할때 25개의 window로 나누면 24 m/z isolation window가 됩니다. 즉 m/z 400-1000 구간을 24 m/z isolation window로 25개 구간으로 스캔으로 하면 25초의 넓이를 가지는 피크의 경우 약 10개 포인트를 갖게 됩니다.
만약 보다 성능 좋은 장비의 경우, 예를 들면 QE-HFX 의 경우 20 Hz 이므로 50번을 스캔을 하더라도 동일하게 10개의 포인트를 갖게 됩니다. 그러므로 10 Hz에서 24 m/z isolation window 대신 15 m/z isolation window를 사용하면 됩니다. 즉 동일한 data point를 가지면서 더 좋은 isolation window를 사용하여 보다 덜 복잡한 MS/MS스펙트럼을 얻을수 있습니다.
파라미터를 크게 변경하지 않은 선에서 몇가지 테스트를 해보았습니다. m/z 400- 1000 구간에서 20 m/z isolation window (총 30 window) 와 24 m/z isolation window (총 25 window)를 비교해보았습니다. 특별히 큰 차이는 나지 않을것이라 예상합니다. 또한 Skyline을 이용하여 isolation window를 만들때 "Optimize window placement" 옵션이 있습니다. 아마 Overlapping DIA 방법을 만들때 유용한것 같기도 합니다 (공부중). Non-Oerlapping DIA 방법에서 이 파라미터가 유용한지도 확인해 보았습니다.

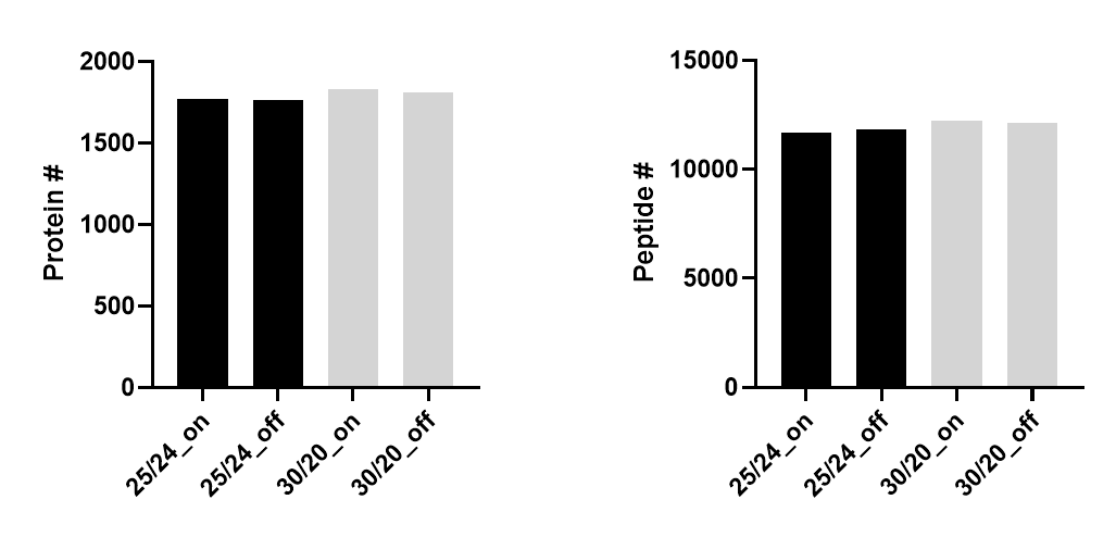
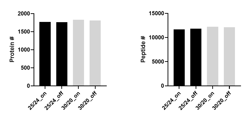
Promega사의 200ng Yeast digest standard (V7461)시료를 사용하였습니다. QE-HF를 이용하여 25 x 24 m/z window 와 30 x 20 m/z window 에서 각각 Optimize window placement 를 사용하지 않은것(on)과 사용한것(off)를 비교분석하였습니다.

크로마토그램은 아래와 같습니다.

아래는 상대적으로 intensity가 높은 product ion의 XIC 입니다. 피크 넓이가 약 45초가 됩니다. 상대적으로 intensity 낮은 펩타이드의 경우 피크의 넓이가 약 25~30초가 되었습니다. 아래 그림에서 보듯이 25 x 24 mz window와 30 x 20 m/z windw에서의 point 수에는 크게 차이가 나지 않습니다. 모두 15개 이상의 포인트를 가지고 있으며 24 mz isolation window에서 약간 더 많은 포인트를 가집니다. 이것은 당연한 결과입니다.

검출된 단백질과 펩타이드의 수를 비교해보았습니다. 예상대로 크게 차이는 없었으나 30 x 20 mz window에서 아주 약간 많이 검출되었습니다. 또한 Optimize window placement 여부는 크게 차이나지 않습니다.

각 펩타이드당 10개정도면 충분하므로 그 이상의 포인트를 가질 필요는 없습니다. 그러므로 적절히 method를 조절하여 최소한의 요구되는 포인트를 가지는 조건에서 최대의 감도를 얻을수 있도록 하면 좋을것 같습니다. 사실 컬럼을 매번 충진해서 사용할 경우 LC 피크의 넓이가 일정하지 않습니다. 그러므로 질량분석기 방법을 사용하더라도 컬럼의 분리능에 따라 얻어지는 포인트가 달라질수 있습니다. 이점을 생각하면 최대한 유사한 컬럼 분리능을 가질수 있도록 컬럼을 만드는것이 중요할것 같습니다.
관련글]DIA분석(QE)에 있어서 m/z 500-900 과 mz 400-1000 검색구간에 따른 결과 차이
관련글] Skyline의 DIA method 설정에서 Window 수와 Optimize window placement 에 따른 비교 분석 (QE-HF)
관련글] 적은수의 펩타이드를 정량분석에 있어서 PRM과 DIA 분석법 비교
관련글] PRM / DIA 정량분석법의 최적화를 위한 peak point 찾기 (실제 데이타)
관련글] PRM / DIA 정량분석법의 최적화를 위한 peak point 찾기
관련글] Biognosys Spectonaut directDIA vs Gas-phase Fractionationed based EncyclopeDIA
관련글] Spectronaut의 direct DIA 분석 검증(Human plasma &Achilles tendon)
관련글] Spectronanut의 directDIA 분석과 Spectra library 기반의 정량분석 비교
관련글] Biognosys Spectronaut 의 Pulsa, directDIA를 이용한 DIA 검색능력 비교
관련글] Biognosys 사의 Spectronaut Pulsar의 DirectDIA 분석 (without Spectra library)
관련글] Biognosys 의 Spectronanut Pulsar 프로그램을 이용한 Spectra library 만들기
관련글] DIA Spectra library를 위한 Spin-column 형태의 hpRP, SCX, and HILIC 기반 펩타이드 분획
관련글] EncyclopeDIA, Spectronaut, PD2.4 with Overlap & non-Overlap DIA and DDA analysis
관련글] Overlap DIA 파일을 HTRMSConverter 로 변환하여 Spectronaut 분석하는 방법
관련글] EncyclopeDIA 을 이용한 DIA 단백질 정량분석
관련글] [Biognosys spectronaut] DIA 분석에서 Spectra library에 따른 단백질 검출차이
관련글] [Biognosys spectronaut] Configure condition 설정
관련글] Spectronaut 의 directDIA 분석과 Spectra library 기반의 정량분석 비교
관련글] Spectronaut 의 direct DIA 분석 검증(Human plasma &Achilles tendon)
관련글] [Biognosys spectronaut] DIA normalization Setting (Ovalbumin DIA 정량분석)
관련글] EncyclopeDIA, Spectronaut, PD2.4 with Overlap & non-Overlap DIA and DDA analysisEncyclopeDIA, Spectronaut, PD2.4 with Overlap & non-Overlap DIA and DDA analysis
'프로테오믹스(단백체학)' 카테고리의 다른 글
| Proteome Discoverer에서 Spectra library 기반 MSPepSearch로 단백질 검색하기 (0) | 2021.02.20 |
|---|---|
| DIA분석(QE)에 있어서 m/z 500-900 과 mz 400-1000 검색구간에 따른 결과 차이 (0) | 2021.02.19 |
| 적은수의 펩타이드를 정량분석에 있어서 PRM과 DIA 분석법 비교 (0) | 2021.02.17 |
| 10-Plex TMT로 Phosphopeptides 검출에 있어서 Sequest HT 와 MS Amanda 2.0 비교 (0) | 2021.02.14 |
| 단백질 분석에 있어서 MS Amanda 와 Sequest 검색엔진 비교 (0) | 2021.02.09 |
댓글