이전글에 Fractionation 없이 Gas-phase fractionation을 통해 얻은 Spectra library를 이용한 DIA 분석인 EncyclopeDIA에 대해 설명을 하였습니다. 또한 Biognosys 사의 Spectronuant 의 Spectra library-free 분석법인 direct DIA에 대해도 설명을 하였습니다. 이번에는 EncylcopeDIA분석을 위해서 얻어진 overlapped DIA raw 파일을 이용하여 두 분석법(Spectronaut directDIA vs EncyclopeDIA) 적용하여 비교해보았습니다.(관련글은 맨 아래 참조)
Spectronaut directDIA 분석
먼저 12개의 Overlapped DIA raw 파일을 두 가지 방법으로 Spectronaunt의 direct DIA 를 검색하였습니다.
1)Overlapped DIA raw 추가변환없이 direct DIA로 분석하였고 2) HTRMSCovventer를 이용하여 demutiplexing 을 한후 direct DIA 를 수행하였습니다.
관련글] Overlap DIA 파일을 HTRMSConverter 로 변환하여 Spectronaunt 분석하는 방법
EncyclopeDIA 분석
다음으로 EncyclopeDIA 분석법으로 분석하였습니다.
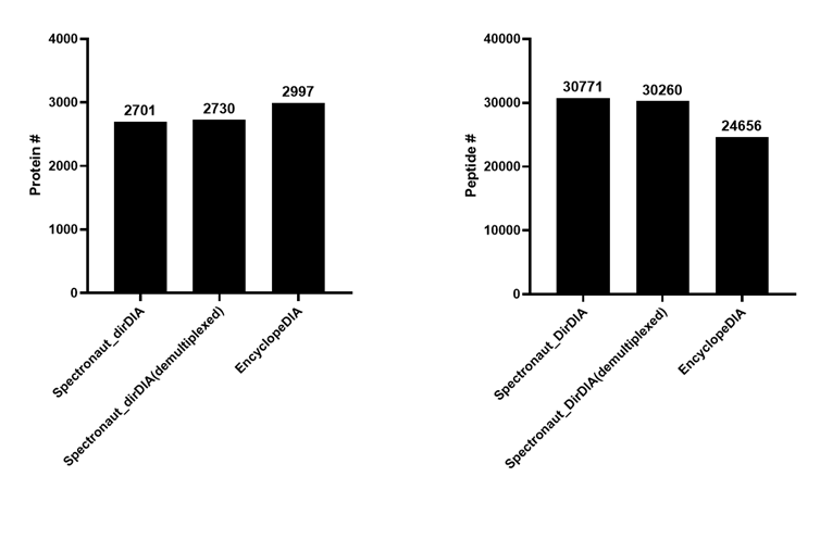
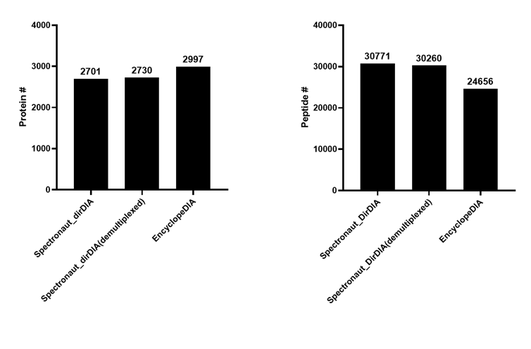
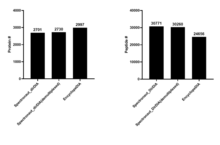
비교결과
아래는 3가지 방법에 의해서 얻어진 단백질과 펩타이드수에 대한 비교 그래프입니다.
3가지 방법에서 얻어진 단백질과 펩타이드 리스트에서 12개 시료중에서 단백질 값이 한개라도 없는 것은 숫자에서 제외시켰습니다.

먼저 overlapp 방식으로 얻어진 DIA 파일의 경우 demultiplexing 변환여부에 관계없이 direct DIA에서 큰 차이없는 결과를 보여줍니다. 하지만 EncycopeDIA과 direct DIA 비교에서는 단백질에서는 EncyclopeDIA가 펩타이드에서는 Spectronaut 에서 약간 많은 수가 검출되었습니다.
검출된 단백질중 대표적인 단백질을 선택하여 상대적인 정량값 비율을 확인해보았습니다. 아래에서 보듯이 동일한 raw파일에서 검출된 단백질이지만 상대적인 정량값 비율이 약간 차이가 납니다.

두 방법의 분석방법의 차이가 정량값에도 영향을 주는것 같습니다. EncyclopeDIA 가 보다 낮은 CV 값을 보입니다. 하지만 Spectronaut의 경우 fasta 파일만으로 검색을 하기 때문에 Spectra library를 위한 추가적인 실험이 필요없는 장점이 있습니다.
관련글]DIA분석(QE)에 있어서 m/z 500-900 과 mz 400-1000 검색구간에 따른 결과 차이
관련글] Skyline의 DIA method 설정에서 Window 수와 Optimize window placement 에 따른 비교 분석 (QE-HF)
관련글] 적은수의 펩타이드를 정량분석에 있어서 PRM과 DIA 분석법 비교
관련글] PRM / DIA 정량분석법의 최적화를 위한 peak point 찾기 (실제 데이타)
관련글] PRM / DIA 정량분석법의 최적화를 위한 peak point 찾기
관련글] Biognosys Spectonaut directDIA vs Gas-phase Fractionationed based EncyclopeDIA
관련글] Spectronaut의 direct DIA 분석 검증(Human plasma &Achilles tendon)
관련글] Spectronanut의 directDIA 분석과 Spectra library 기반의 정량분석 비교
관련글] Biognosys Spectronaut 의 Pulsa, directDIA를 이용한 DIA 검색능력 비교
관련글] Biognosys 사의 Spectronaut Pulsar의 DirectDIA 분석 (without Spectra library)
관련글] Biognosys 의 Spectronanut Pulsar 프로그램을 이용한 Spectra library 만들기
관련글] DIA Spectra library를 위한 Spin-column 형태의 hpRP, SCX, and HILIC 기반 펩타이드 분획
관련글] EncyclopeDIA, Spectronaut, PD2.4 with Overlap & non-Overlap DIA and DDA analysis
관련글] Overlap DIA 파일을 HTRMSConverter 로 변환하여 Spectronaut 분석하는 방법
관련글] EncyclopeDIA 을 이용한 DIA 단백질 정량분석
관련글] [Biognosys spectronaut] DIA 분석에서 Spectra library에 따른 단백질 검출차이
관련글] [Biognosys spectronaut] Configure condition 설정
관련글] Spectronaut 의 directDIA 분석과 Spectra library 기반의 정량분석 비교
관련글] Spectronaut 의 direct DIA 분석 검증(Human plasma &Achilles tendon)
관련글] [Biognosys spectronaut] DIA normalization Setting (Ovalbumin DIA 정량분석)
관련글] EncyclopeDIA, Spectronaut, PD2.4 with Overlap & non-Overlap DIA and DDA analysis
댓글