질량분석기를 이용하여 정량분석후 확연하게 차이나는 단백질이 보이면 아주 기분이 좋습니다. 이러한 상대적인 차이가 시료전처리 과정에서 생긴 오류가 아니라 실제적인 단백질의 변화에 따른 차이임을 바라게 됩니다. 질량분석기 기반으로 정량분석시에는 단백질을 바로 측정하는것이 아니라 여러 과정을 거쳐서 펩타이드를 분석합니다. 이로인해 Protein extraction, Digestion, clean-up, or fractionation등의 과정에서 시료 손실은 피할수 없습니다. 만약 두개의 시료만으로 분석하여 2배차이나는 단백질을 찾았다고 하면 아무도 믿어주지 않을것입니다. 그렇다고 초기 단계에서 수백개의 시료를 분석할수도 없습니다. 시료수가 많아지게 되면 또한 변수도 많아질수도 있습니다.
만약 시료전처리과정에서 상대적인 양의 변화가 2배이상이 차이가 날수 있는 실험에서 실제 실험 측정값이 1.5배 차이가 난다면 이 결과는 신뢰할수가 없게 됩니다.
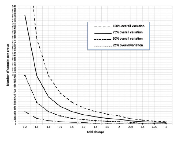
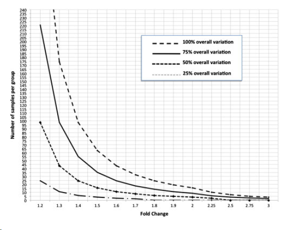
아래는 주어진 variation값에서 신뢰할수 있는 fold-change값을 얻기 위해 필요한 시료수에 관한 그래프입니다.
만약 50%의 variation이 있는 상태에서 1.5 fold(50%)의 변화값에 대해 신뢰성을 갖기 위해서는 group당 약 16개의 biological replicates가 필요합니다. 만약 더 적은 양의 변화까지 신뢰성있는 영역에서 확인하고 싶다면 필요한 시료의 시는 급격하게 올라가게 됩니다.

또 다른 관점에서, 아래 그래프는 20% (위) 와 40% (아래) variation에서 주어진 biological replicates 수에 신뢰성 있는 값을 얻기 위해서 필요한 최소의 fold-change값에 대한 그래프를 보여줍니다. 예를 들어 그룹당 4개의 biological replicates가 있으며 40% variation에서 신뢰성 있는 값을 가지기 위해서는 최소 4-fold change 이상이 되어야 합니다. 즉 4-fold 이하의 변화는 기술적인 오류에 의한 변화가 될수 있기 때문에 신뢰성이 떨어진다는 것입니다.

이 그래프들이 정확한 수치를 알려주지는 않을것입니다. 하지만 정량분석시 우리가 특별한 기준없이 시료수를 정하거나 단백질 변화율을 정한다는 생각을 해봅니다.
출처: The role of statistical power analysis in quantitative proteomics, Proteomics 2011, 2565-2567
관련글
PRM / DIA 정량분석법의 최적화를 위한 peak point 찾기 (실제 데이타)
PRM / DIA 정량분석법의 최적화를 위한 peak point 찾기
'프로테오믹스(단백체학)' 카테고리의 다른 글
| Thermo Q-Exactive HF benchmark Experiments (0) | 2021.06.14 |
|---|---|
| Precursor ion이 충분히 fragmentation 되지 않는 경우 (0) | 2021.06.02 |
| Stage-tip hpRP fractionation with the limited amount of phosphopeptides (0) | 2021.05.26 |
| Targeted Mass trigger를 이용한 Lysine Acetylated 펩타이드 구조분석 (0) | 2021.05.22 |
| 특정 소수의 단백질로 인해 TMT Phosphopetide 정량분석의 어려움 (0) | 2021.05.15 |
댓글