이전글에서 harvard apparatus 사의 C18 stage-tip 의 효율성을 보았습니다.
이전글] C18 Reverse Phase Chromatography SpinColumns (Harvard Apparatus)을 이용한 펩타이드 전처리
이번에는 동일한 회사의 제품이지만 96-well plate 형태로 된 것을 테스트해보았습니다. 많은 수의 시료를 동시에 전처리할때 아주 유용합니다. 테스트에서 중점을 두는것은 시료가 loading 및 Washing 과정에서 펩타이드의 손실이 없어야 한다는것입니다. 효율이 낮은 컬럼의 경우 loading과정에서 많은 펩타이드들이 C18에 결합하지 않고 용리됩니다.
두가지 서로 다른 용량(Micro and Macro)을 가지는 Plate를 사용하였습니다.

Vacuum Manifold는 Millipore사 제품을 사용했습니다.
https://www.emdmillipore.com/US/en/product/MultiScreenHTS-Vacuum-Manifold,MM_NF-C9206
테스트 방법은 아래와 같습니다. Micro 와 Macro에 각각50 µg 와 100 µg 을 로딩하였습니다. 얻어진 Flow-through와 elution을 각각 질량분석기로 분석하였습니다.Flow-through (FT)의 경우 전체 양의 약 1/3을 주입하였고 Elution은 2µg을 각각 주입하였습니다. 피크의 존재여부만 확인하면 됨으로 짧은 30min LC gradient를 사용했습니다.

실제로 Vacuum Manifold와 C18 plate 가 장착된 모습입니다.

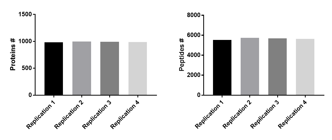
Microplate 실험결과
Flow-through 와 Elution에서 얻은 각각의 크로마토그램입니다. Flow-though 에서 많은 피크들이 보입니다. 하지만 대부분은 Single charge 를 가지는 noise입니다. Flow-thought 과정에서 컬럼에 결합되지 않은 contaminants들입니다. 이러한 Contaminants가 잘 제거된다는걸 보여줍니다.

아래는 Elution에 해당하는 크로마토그램입니다. 전형적인 펩타이드 크로마토그램을 보여줍니다. 재현성도 좋습니다.

아래는 반복실험에서 얻어진 단백질과 펩타이드의 수에 대한 그래프입니다. 거의 유사한 값을 보여줍니다.

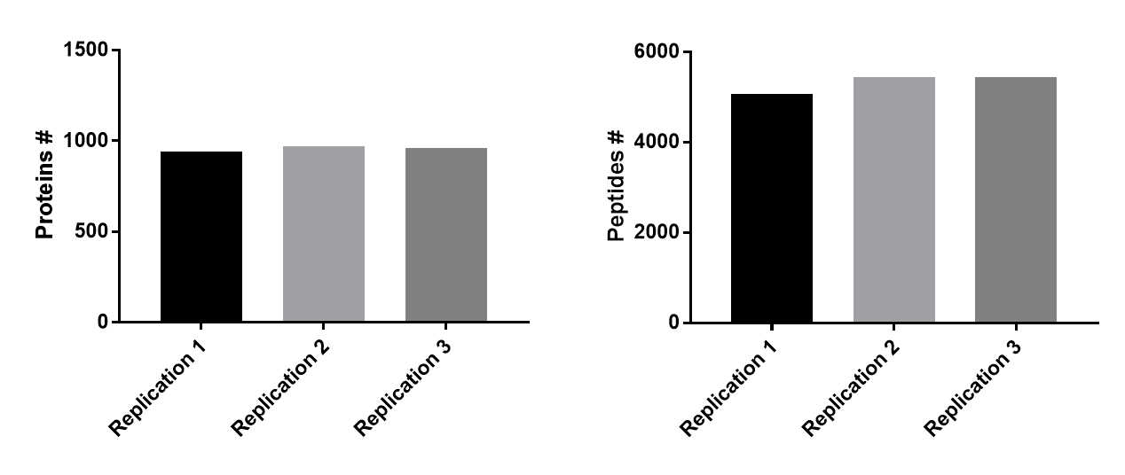
Macroplate 실험결과
Flow-through 와 Elution에서 얻은 각각의 크로마토그램입니다. Flow-though 에서 많은 피크들이 보입니다. 하지만 대부분은 Single charge 를 가지는 noise입니다. Flow-thought 과정에서 컬럼에 결합되지 않은 contaminants들입니다. 이러한 Contaminants가 잘 제거된다는걸 보여줍니다.

아래는 Elution에 해당하는 크로마토그램입니다. 전형적인 펩타이드 크로마토그램을 보여줍니다. 재현성도 좋습니다.

아래는 반복실험에서 얻어진 단백질과 펩타이드의 수에 대한 그래프입니다. 거의 유사한 값을 보여줍니다.

Conclusion
Harvard apparatus 사의 C18 Stage-tip과 더불어 96-well plate 형태로 효율성이 좋다는것을 알수 있었습니다.
많은 시료를 동시에 전처리할때 아주 유용합니다.
관련글
C18 Reverse Phase Chromatography SpinColumns (Harvard Apparatus)을 이용한 펩타이드 전처리
C18 Reverse Phase Chromatography SpinColumns (Harvard Apparatus)을 이용한 펩타이드 전처리
Trypsin digestion의 양에 따라 적절한 용량의 C18 컬럼을 선택해야 된다. 그렇지 불필요한 시료의 손실이 발생한다. 분석시료의 양에 따라 Harvard Apparatus 사에서 판매되는 Ultra, micro, Macro C18 Spin-co..
proteomicstechnology.tistory.com
3M™ Empore™ C18 Extraction Disks- 3M™ 2215
3M™ Empore™ C18 Extraction Disks- 3M™ 2215
3M C18으로 충진한 Stage-tip 의 펩타이드의 용량 확인 실험실에서 펩타이드 정제용인 Stage-tip 컬럼제작에 널리 사용되는 3M™ Empore™ C18 Extraction Disks의 용량 테스트에 관한 내용이다. 실험실마다 사
proteomicstechnology.tistory.com
C18 Spin-Column 으로 High pH Reverse-Phase chromatography Fractionation 하는 법
AttractSPE Disk Bio C18 을 이용하여 high-pH RP stage-tip로 펩타이드 분획하기

'프로테오믹스(단백체학)' 카테고리의 다른 글
| Targeted Mass trigger를 이용한 Lysine Acetylated 펩타이드 구조분석 (0) | 2021.05.22 |
|---|---|
| 특정 소수의 단백질로 인해 TMT Phosphopetide 정량분석의 어려움 (0) | 2021.05.15 |
| 짧은 LC gradient로 단일단백질 검출하기 (0) | 2021.05.10 |
| 유사한 m/z 펩타이드가 유사한 시간에 용리될때 구분하는 방법 (0) | 2021.05.08 |
| Abnormal background peaks 를 통해 장비 상태확인 및 조치하기 (0) | 2021.05.07 |
댓글