질량분석기의 조건을 최적화하는데 있어서 사람마다 성향이 있을것입니다. 하나의 조건으로 다양한 시료를 분석할 수도 있고 아니면 그때 그때 마다 조건을 바꾸어서 최적화 할수도 있습니다.
누구나 최적화 된 상태에서 자신의 시료를 분석하고 싶어할 것입니다. 그래서 장비를 만지기를 좋아하는 사람은 질량분석기의 파라미터를 하나 하나씩 바꾸어 가면서 최적화 합니다. 저도 이전에는 그렇게 하긴 했는데 투자 대비 얻는것이 상대적으로 미비한것 같습니다. 논문에 나오는것 처럼 다양한 파라미터를 바꾸어서 최적화 하더라도 시간이 지남에 따라 장비의 감도가 떨어짐으로 효과가 감소합니다. 대략 좋은 조건을 찾으면 특별히 많이 바꾸지 않고 사용합니다.

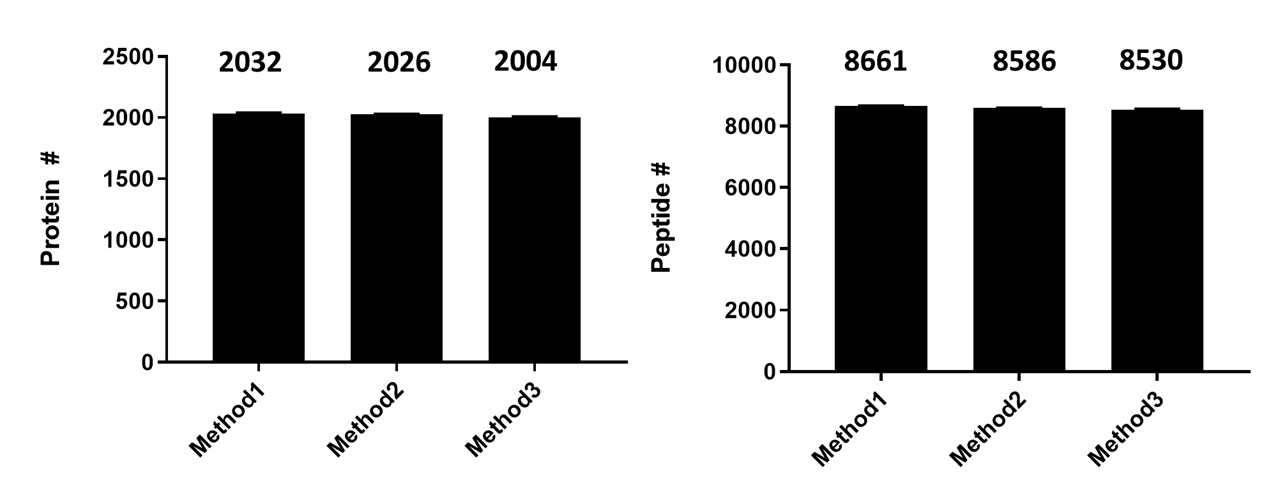
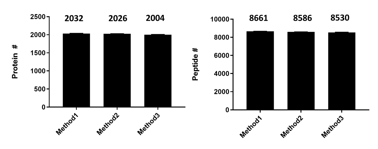
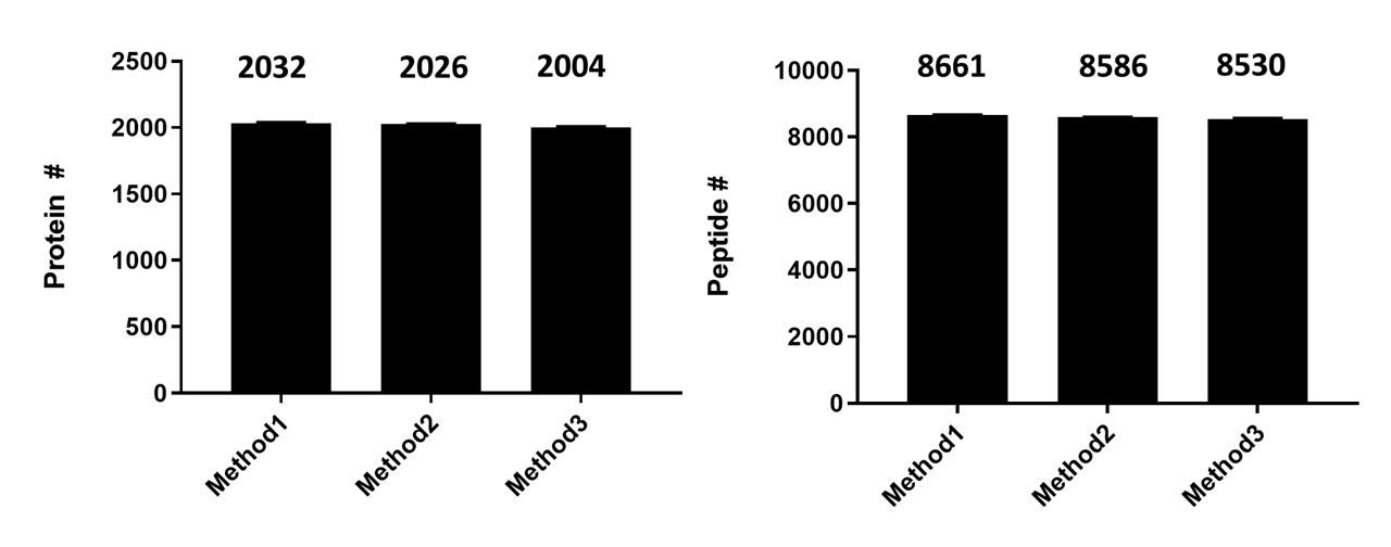
DIA 정량분석을 위해 Q-Exactive HF를 이용하여 간단히 몇가지 조건으로 비교를 해보았습니다.

아래는 Biognosys사의 Spectronaut 를 이용하여 얻어진 단백질수 ,펩타이드수, Data point수, cycle time 비교 그래프입니다. 물론 많은 단백질이 검출되는것이 중요하지만 정량분석을 위해서는 단백질수는 적더라도 높은 재현성을 가지는것이 필요합니다. 그러므로 이 둘 (단백질수와 정량성) 을 잘 고려해서 결정해야 합니다.
Updated (08-01-2020)
- Instrument: Orbitrap Fusion
- Samples: HeLa standard digest (200ng per injection)
MS2 의 resolution (60K vs 30K)는 크게 영향을 주지 않으며 MS2 scan range를 약간 증가는 크게 도움이 되지 않습니다.


관련글]DIA분석(QE)에 있어서 m/z 500-900 과 mz 400-1000 검색구간에 따른 결과 차이
관련글] Skyline의 DIA method 설정에서 Window 수와 Optimize window placement 에 따른 비교 분석 (QE-HF)
관련글] 적은수의 펩타이드를 정량분석에 있어서 PRM과 DIA 분석법 비교
관련글] PRM / DIA 정량분석법의 최적화를 위한 peak point 찾기 (실제 데이타)
관련글] PRM / DIA 정량분석법의 최적화를 위한 peak point 찾기
관련글] Biognosys Spectonaut directDIA vs Gas-phase Fractionationed based EncyclopeDIA
관련글] Spectronaut의 direct DIA 분석 검증(Human plasma &Achilles tendon)
관련글] Spectronanut의 directDIA 분석과 Spectra library 기반의 정량분석 비교
관련글] Biognosys Spectronaut 의 Pulsa, directDIA를 이용한 DIA 검색능력 비교
관련글] Biognosys 사의 Spectronaut Pulsar의 DirectDIA 분석 (without Spectra library)
관련글] Biognosys 의 Spectronanut Pulsar 프로그램을 이용한 Spectra library 만들기
관련글] DIA Spectra library를 위한 Spin-column 형태의 hpRP, SCX, and HILIC 기반 펩타이드 분획
관련글] EncyclopeDIA, Spectronaut, PD2.4 with Overlap & non-Overlap DIA and DDA analysis
관련글] Overlap DIA 파일을 HTRMSConverter 로 변환하여 Spectronaut 분석하는 방법
관련글] EncyclopeDIA 을 이용한 DIA 단백질 정량분석
관련글] [Biognosys spectronaut] DIA 분석에서 Spectra library에 따른 단백질 검출차이
관련글] [Biognosys spectronaut] Configure condition 설정
관련글] Spectronaut 의 directDIA 분석과 Spectra library 기반의 정량분석 비교
관련글] Spectronaut 의 direct DIA 분석 검증(Human plasma &Achilles tendon)
관련글] [Biognosys spectronaut] DIA normalization Setting (Ovalbumin DIA 정량분석)
관련글] EncyclopeDIA, Spectronaut, PD2.4 with Overlap & non-Overlap DIA and DDA analysis[Biognosys spectronaut] DIA normalization Setting (Ovalbumin DIA 정량분석)
'프로테오믹스(단백체학)' 카테고리의 다른 글
| O-linked glycopeptides 검출을 위한 Targeted Mass trigger HCD+EThcD fragmentation (0) | 2020.08.05 |
|---|---|
| [Biognosys spectronaut] DIA normalization Setting (Ovalbumin DIA 정량분석) (0) | 2020.08.03 |
| Longer peptide fragmentation with HCD, ETD, and EThcD (0) | 2020.07.31 |
| Nano ESI Spray 상태확인을 위한 Dino-lite Camera (0) | 2020.07.26 |
| Haptoglobin O-linked glycopeptides의 PRM 정량분석 (0) | 2020.07.23 |
댓글