Plasma 시료를 Overlap 방식을 이용한 EnclycopeDIA 프로그램방식과 non-overlap 방식으로 Spectronaunt 프로그램 방식을 분석해보았습니다. High abundant proteinds을 제거하지 않으면 검출되는 단백질의 수는 아주 제한적입니다. Plasma 시료에 대한 관련글은 아래와 같습니다.
관련글
혈액단백질 (Plasma & Serum)의 프로테오믹스 분석의 어려운점
혈액단백질 (Plasma & Serum)의 프로테오믹스 분석의 어려운점
대학원 그리고 박사후 연구원동안 혈액에서의 바이오마커를 검출하는 일을 하였습니다. 혈액은 가장 쉽게 확보할수 있는 생체시료이기에 진단용으로 아주 유용합니다. "한방울의 혈액"으로 많
proteomicstechnology.tistory.com
Pierce™ Top 12 Abundant Protein Depletion Spin Columns 으로 혈액 단백질 검출하기
Spectronaut 의 direct DIA 분석 검증(Human plasma &Achilles tendon)
많은 수의 human plasma 시료의 정량분석을 위한 전처리 방법
Plasma 시료를 trypsin digestion 하여 처음 plasma의 0.05 µL에 해당하는 양을 주입하였습니다. 보통 1 µL당 대략 60 µg의 양이 있음으로 0.05 µL를 주입하면 약 3ug이 주입됩니다.
EncyclopeDIA 분석을 위해서는 Gas-phase fractionation DIA를 수행한후 실제 분석을 위해서 m/z 20 window overlap DIA (m/z 400-1000)를 수행하였습니다. Spectronaut 분석을 위해서는 m/z 20 window non-overlap DIA (m/z 400-1000)를 수행하였습니다. 각각 6번 반복하였습니다. Spectronaut분석시 3가지 방법을 이용하였습니다. 1) 프로그램에서 제공하는 Built-in Spectra-library 2) 직접 사전분획후 DDA를 통해 얻은 Spectra-library 3) Human fasta파일을 이용한 directDIA. Q-Exactive로 분석하였기에 QE-HF 나 QE-HFX에 비해서 검출되는 수는 적을수 있지만 두 프로그램을 비교하는데는 문제가 없습니다.

Protein and Peptide #
아래는 각각의 분석법에서 검출된 단백질과 펩타이드 숫자입니다. 단백질 숫자에서는 EncyclopeDIA가 제일 많습니다. 펩타이드 수에서는 Spectronaut에서 Built-in Spectra-library에서 가장 많습니다.

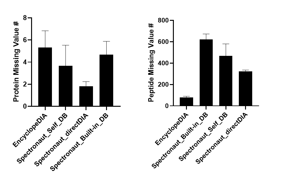
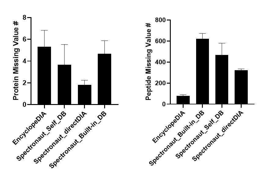
Missing Value #
아래는 검출된 결과에서 나온 missing value값에 대한 그래프입니다. 단백질의 경우 그 숫자가 아주 미비합니다. 전체 단백질의 수가 많지 않음으로 상대적으로 missing value 수는 많지 않은것 같습니다. 펩타이드의 경우 EncyclopeDIA와 Spectronaunt 가 수 에 있어서 확연히 차이가 납니다. 동일한 시스템에서 Gas-phase fractionation을 이용하여 얻어진 spectra-library를 이용한 검색에서 missing value값이 현저이 줄어듭니다. Retention time을 감안하여 검색하기 때문에 오류가 줄어듭니다. 이러한 missing value값을 고려하게 되면 실제로 검출된 펩타이드의 수는 EncyclopeDIA가 훨씬 높을수 있습니다.

Conclusion
이번 DIA분석에서 EnclycopeDIA가 Spectronaut보다 좋은 결과를 보여주었습니다. 하지만 300개가 넘지 않는 단백질 수에서 비교하는것이 크게 의미가 없을수도 있습니다. 혈액시료의 경우 분석 수가 아주 많은 경우가 있습니다. EncyclopeDIA의 경우 Retention time의 재현성이 아주 중요합니다. 많은 시료를 분석하다 보다 retention time이 달라질수 있습니다. 또한 컬럼의 손상으로 컬럼을 교체해야 될때가 있습니다. 이럴 경우 기존에 생성한 Gas-phase fractionation의 spectra-library를 사용못할수도 있습니다. 또한 기존에 분석한 DIA 결과와 함께 분석할수 없을수도 있습니다. 이러한 시스템적인 불안정요소로 인해 EncyclopeDIA보다 Spectronaut를 선호할때가 있습니다.
관련글
DIA분석(QE)에 있어서 m/z 500-900 과 mz 400-1000 검색구간에 따른 결과 차이
Skyline의 DIA method 설정에서 Window 수와 Optimize window placement 에 따른 비교 분석 (QE-HF)
적은수의 펩타이드를 정량분석에 있어서 PRM과 DIA 분석법 비교
PRM / DIA 정량분석법의 최적화를 위한 peak point 찾기 (실제 데이타)
PRM / DIA 정량분석법의 최적화를 위한 peak point 찾기
Rat Brain Tissue DIA, Spectonaut directDIA, spectra-library based vs Gas-phase Fractionationed based EncyclopeDIA
최근에 분석한 rat brain tissue DIA 결과를 이용하여 Gas-Phase Fraction(EnclycopeDIA), directDIA(Spectronaut), Spectra-library(Spectronaut)을 비교했습니다. 이전에 동일한 비교를 하였지만 다른 시료형태..
proteomicstechnology.tistory.com
Biognosys Spectonaut directDIA vs Gas-phase Fractionationed based EncyclopeDIA
Spectronaut의 direct DIA 분석 검증(Human plasma &Achilles tendon)
Spectronanut의 directDIA 분석과 Spectra library 기반의 정량분석 비교
Biognosys Spectronaut 의 Pulsa, directDIA를 이용한 DIA 검색능력 비교
Biognosys 사의 Spectronaut Pulsar의 DirectDIA 분석 (without Spectra library)
Biognosys 의 Spectronanut Pulsar 프로그램을 이용한 Spectra library 만들기
DIA Spectra library를 위한 Spin-column 형태의 hpRP, SCX, and HILIC 기반 펩타이드 분획
EncyclopeDIA, Spectronaut, PD2.4 with Overlap & non-Overlap DIA and DDA analysis
Overlap DIA 파일을 HTRMSConverter 로 변환하여 Spectronaut 분석하는 방법
EncyclopeDIA 을 이용한 DIA 단백질 정량분석
[Biognosys spectronaut] DIA 분석에서 Spectra library에 따른 단백질 검출차이
[Biognosys spectronaut] Configure condition 설정
Spectronaut 의 directDIA 분석과 Spectra library 기반의 정량분석 비교
Spectronaut 의 direct DIA 분석 검증(Human plasma &Achilles tendon)
[Biognosys spectronaut] DIA normalization Setting (Ovalbumin DIA 정량분석)
EncyclopeDIA, Spectronaut, PD2.4 with Overlap & non-Overlap DIA and DDA analysis
'프로테오믹스(단백체학)' 카테고리의 다른 글
| Lysine(K) 과 Arginine(R)에 결합된 Hexose isobaric peptide 의 characterization (0) | 2021.04.28 |
|---|---|
| CNBr digestion에 의한 Methionine 의 homoserine lactone modification (0) | 2021.04.27 |
| Microbiome 이 제거된 Mouse stool samples 에서 proteome 분석 (0) | 2021.04.24 |
| Proteinase K and Pepsin Digestion with BSA standard (0) | 2021.04.21 |
| Orbitrap Fusion의 CID 와 HCD fragmentation 비교 (0) | 2021.04.19 |
댓글